???
亞通首頁
關于亞通
公司概況全國布局品牌文化研發實力博士后工作站合作伙伴工程案例
產品系列
家裝管系列民用建筑管系列給水管系列市政排污管系列通訊電力管系列海洋養殖系列燃氣管系列非開挖管系列
亞通星服務
服務中心管路圖查詢留言反饋資料下載真偽查詢亞通報告檢測報告查詢
亞通資訊
亞通新聞行業動態亞通公告水管大講堂
品牌加盟
招賢納士
人在亞通人才理念招聘信息在線招聘
聯系我們
PRR尺寸規格
你怎么看?
很多的小伙伴在購買PPR管材進行熱熔熔接安裝時,總會遇到管材與管件尺寸對不上的情況,然而對于不是專業的我們,在面對繁雜的管道尺寸規格單位時,即使是上網查詢也是一頭霧水,因為水管行業有許多不同類型的管道,每種管道的特性都不一樣,所以描述它們規格的參數含義也有所不同。
今天我們就拿離我們生活最近的PPR家裝管來講一下管道的規格參數問題,從管徑規格和壁厚這兩個參數開始講起。
1.管徑與管件規格
我們在弄清楚管道規格前,首先要明白公稱尺寸DN、公稱外徑dn、內徑以及英制單位的概念。
(1) 公稱尺寸DN
公稱尺寸是由字母DN和數字組合而成的一種尺寸標識,公稱尺寸的數值僅用于指代產品規格,不能代表管道尺寸的實際測量值,是實際測量以毫米為單位數值的圓整值,也可理解為實際測量數值的近似值。
(2) 公稱外徑dn
公稱外徑是用于表示管材外徑或管件插口部位的一個數值,單位為毫米,常用dn表示。而實際生活中,我們習慣用機械制圖中的“Φ”符號來表示外徑,如“Φ25×3.5”,即表示公稱外徑為25 mm,公稱壁厚3.5mm(詳見下圖)。
在亞通家裝管管件中“Φ”后的數字即表示該管件可以連接公稱外徑為25 mm的管(詳見下圖)。
(3) 內徑
內徑是在管道部件垂直于軸向的橫截面上,過圓心的直線與橫截面內表面的兩個交點之間的距離。
(4) 英制單位
英制單位是一種源自英國的度量衡單位制。常用的有4分,6分和1寸。
“4分”即1/2英寸,即管內徑為12.7 mm的管,對應公稱外徑20mm。
“6分”即3/4英寸,即管內徑為19.05 mm的管,對應公稱外徑25mm。
“1寸”即1英寸,1寸管即管內徑為25.4 mm的管,對應公稱外徑32mm。
2.管材與管件的壁厚
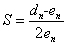
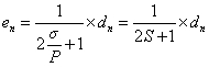
(1) 管材系列數S與公稱壁厚en
對于輸送有壓力的冷水或熱水的管材,其管壁許用應力與管中流體壓力的常用關系用下式表示:
由上式整理可得壁厚的計算公式為:
式中:
σ——許用應力,單位為MPa;
P——流體壓力,單位為MPa;
dn——公稱外徑,單位為mm;
en——公稱壁厚,單位為mm;
S——管材系列數,S=σ/P。
根據上述公式即可計算出管材的公稱壁厚,單位為毫米。從公式中可以得出一個結論:當PPR管的公稱外徑一定時,管系列S越大,則水管的壁厚越薄,管系列S越小,則水管的壁厚越厚.
在GB/T 18742.2-2017《冷熱水用聚丙烯管道系統 第2部分:管材》中,對于管系列S的具體規格參數也有規定(詳見下圖)。
PPR管材按管系列分為S6.3、S5、S4、S3.2、S.2.5、S2。管件按管系列也分為上述6類,需注意的是管件的壁厚應大于同系列管材的壁厚。
(1) 標準尺寸比SDR
標準尺寸比SDR是管材公稱外徑與公稱壁厚的比值,按一定規則圓整后得到的值。標準尺寸比SDR公式如下:
![]()
將上述公式和管系列S與管材的公稱外徑、公稱壁厚公式(即):

可以得到標準尺寸比SDR與管系列S的公式:
與管系列相同,當PPR管的公稱外徑一定時,標準尺寸比SDR越大,則水管的壁厚越薄,標準尺寸比SDR越小,則水管的壁厚越厚。
4.實際案例
這根PPR管材的公稱外徑是25 mm,公稱壁厚3.5 mm,對應的管系列是S3.2系列。
這個管件的公稱內徑是20 mm,可連接公稱外徑為20 mm的管道,管件等級為S2.5。
這個鑲銅內螺紋直接(或稱內牙直接、內絲直接),規格表示是Φ20×1/2”,表示:可以連接公稱外徑20mm的管材;內螺紋規格為英制1/2”,可連接外螺紋英制1/2”的配件。